Sistem dveh linearnih enačb z dvema neznankama

Sistem dveh linearnih enačb z dvema neznankama x in y ima obliko:

ax+by=c

dx+ey=f

Sistem enačb lahko rešimo grafično, z zamenjalnim načinom ali z metodo nasprotnih koeficientov.

 

1. ZAMENJALNI NAČIN: Iz ene enačbe izraziš eno neznanko in jo vstaviš v drugo enačbo.

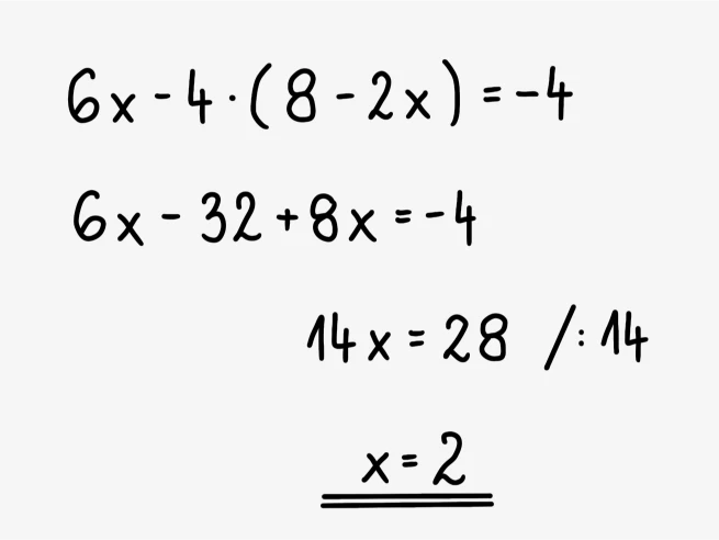
PRIMER: Reši sistem enačb 2x+y=8 in 6x-4y=-4

Iz prve enačbe izraziš y.

sistem enačb

Ta y vstaviš v drugo enačbo in izračunaš x.

sistem enačb

Izračunaš še y.

reševanje enačb

Rešitev: x=2 in y=4

učni listi za sistem linearnih enačb z dvema neznankama

Prenesi dodatne vaje

2. METODA NASPROTNIH KOEFICIENTOV: Eno ali obe enačbi pomnožiš tako, da dobiš pred isto neznanko v obeh enačbah nasprotna koeficienta. Enačbi nato sešteješ in s tem izločiš eno neznanko.

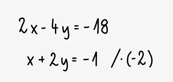
PRIMER: Reši sistem enačb 2x-4y=-18 in x+2y=-1

Drugo enačbo množiš z -2.

primer sistema enačb z dvema neznankama

Tako imaš  pred enim x koeficient 2, pred drugim pa -2. Enačbi sešteješ, da se znebiš x.

primer sistema enačb z dvema neznankama

y vstaviš v prvo ali drugo enačbo in izračunaš x.

primer enačbe

Rešitev: x=-5 in y=2

Sisteme enačb najdeš v knjigah Znam za 5

Več prispevkov

Labirint

Trigonometrične enačbe