Iracionalne enačbe

Iracionalna enačba je enačba, v kateri neznanka nastopa pod korenom.

Iracionalne enačbe rešujemo s potenciranjem. Ker pa potenciranje ne ohranja ekvivalentnosti enačb, se lahko zgodi, da dobljene rešitve ne ustrezajo. Zato je obvezen preizkus.

 

PRIMER: ENAČBA Z ENIM KORENOM

Reši enačbo \(\boldsymbol{\sqrt{x + 6} = 2}\)

Enačbo najprej kvadriraš, da se znebiš korena.

Iracionalne enačbe

Ko se znebiš korena, rešuješ enačbo kot vsako navadno linearno enačbo.

Iracionalne enačbe

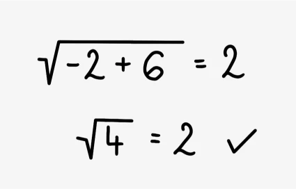
Na koncu je obvezen preizkus (x=-2 vstaviš v prvotno enačbo).

iracionalna enačba

Rešitev: x=-2

učni listi za načrtovanje trikotnikov

Prenesi dodatne vaje

PRIMER: Reši enačbo \(\boldsymbol{\sqrt{x + 4} = x – 2}\)

Enačbo najprej kvadriraš, da se znebiš korena. 

iracionalna enačba

Desno stran moraš dat obvezno v oklepaj in kvadrirat kot dvočlenik.

Iracionalne enačbe

Ko se znebiš korena in kvadriraš, rešuješ kot navadno kvadratno enačbo.

Iracionalne enačbe

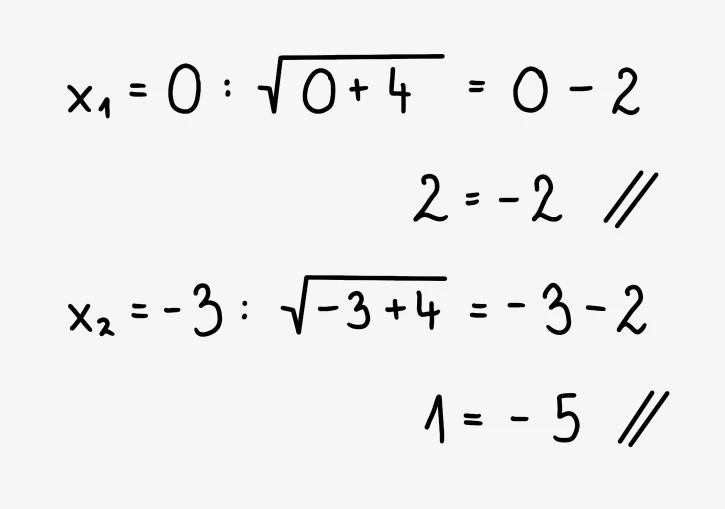
Narediš še preizkus. 

preizkus rešitev

Ker nobena od rešitev ne ustreza, enačba nima rešitve.

 

 

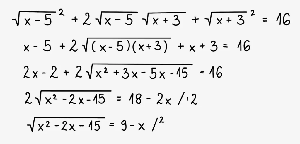
PRIMER: ENAČBA Z DVEMA KORENOMA

Reši enačbo \(\boldsymbol{\sqrt{x – 5} + \sqrt{x + 3} = 4}\)

Enačbo kvadriraš.

primer iracionalne enačbe

Levo stran daš v oklepaj in kvadriraš kot dvočlenik.

primer iracionalne enačbe

Kvadriraš in poenostaviš. Ker koren ne izgine, kvadriraš še enkrat.

3

Spet daš v oklepaj in kvadriraš kot dvočlenik.

primer reševanja enačbe

Narediš preizkus.

primer iracionalne enačbe

Rešitev: x=6

Več rešenih nalog najdeš v knjigi za 2. letnik

Več prispevkov

Kdo si v razredu?

Mini izziv 23

Obstaja poseben starš

Vztrajnost in trud