Potence in koreni izraz

Pravilen odgovor je b.

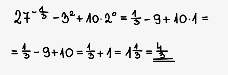
Kadar imamo potenco z ulomkom v eksponentu, gre tisto, kar je v imenovalcu ulomka, na koren, tisto, kar je v števcu, pa ostane kot potenca pod korenom.

Potenca z racionalnim eksponentom

Dobiš:

2

Potence in korene najdeš v knjigi Znam za 5

Več prispevkov

Mini izziv 4

Matematika ni sprint